中考考生注意了!今天,上海16个区公布中招零志愿、名额分配志愿录取分数线。
ps:今年上海中考总分为750分。
(以下图片点击均可查看大图)
杨浦区
(2021年杨浦区零志愿录取分数线)


截至发稿时,杨浦区名额分配最低投档分数线暂未在官网公布。
浦东新区








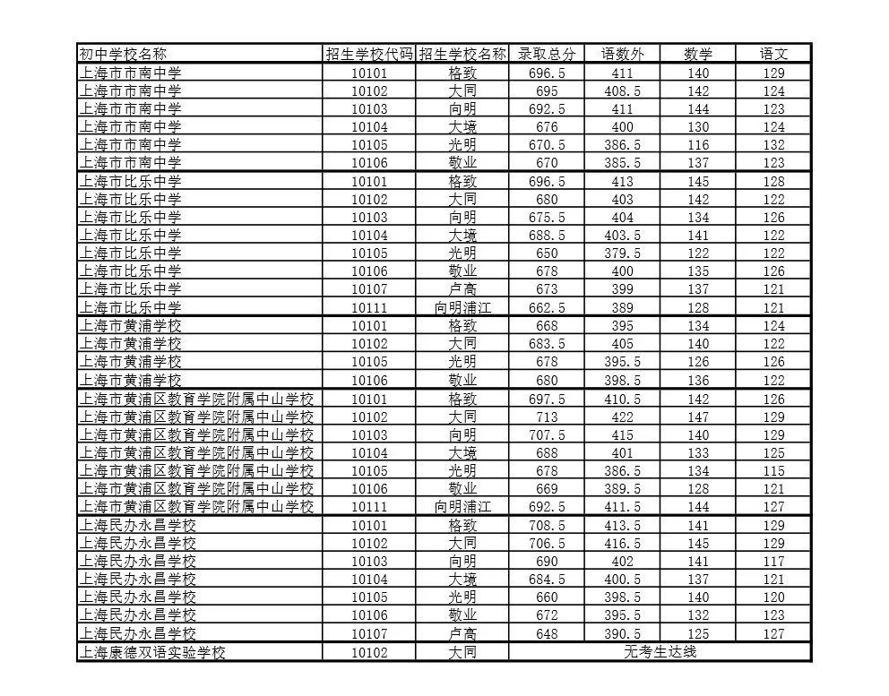
黄浦区




静安区




徐汇区





长宁区



普陀区



虹口区




宝山区
(2021年宝山区“零志愿”投档分数线)

(2021年行知中学名额分配投档分数线)

(2021年吴淞中学名额分配投档分数线)

(2021年上大附中名额分配投档分数线)

闵行区
2021年上海市中等学校高中阶段招生(闵行区)零志愿投档分数线

2021年上海市中等学校高中阶段招生(闵行区)名额分配投档分数线

嘉定区


金山区



松江区


2021年松江区中招"名额分配"最低投档分数线



青浦区





奉贤区




崇明区
2021年上海市中等学校高中阶段招生(崇明区)零志愿投档分数线


2021年上海市中等学校高中阶段招生(崇明区)名额分配投档分数线


编辑:吴百欣
资料:上海发布
*转载请注明来自上海杨浦官方微信
上观号作者:上海杨浦